Messages and transactions
TON is an asynchronous blockchain with a complex structure that is very different from other blockchains. Because of this, new developers often have questions about low-level things in TON. In this article, we will examine one such question related to message delivery.
What is a message?
A message is a set of instructions intended for a single actor. In TON Blockchain, it serves as the fundamental unit of interaction between accounts. All logic execution, state changes, and contract-to-contract communication are initiated by messages.


Working with this type of communication is reminiscent of launching a satellite into space. While we know the message we've created, observation after launch is required to determine the outcome.
What is a transaction?
A transaction in TON is a record of an account's state update caused by processing an incoming message. It consists of:
- the incoming message that triggered the contract
- the state changes performed by the contract during message processing (e.g., storage or balance updates)
- any outgoing messages sent to other contracts (if applicable)
Technically, a contract can be triggered through special functions such as Tick-tock. Still, this function is more used for internal TON Blockchain core contracts.
Not every transaction results in outgoing messages or updates to the contract's storage - this depends on the actions defined by the contract's code.

If we look at Ethereum or almost any other synchronous blockchain, each transaction can contain several smart contract calls. For example, DEXs perform multiple exchanges in one transaction if there is no liquidity for the selected trading pair.
In an asynchronous system, you can't get a response from the destination smart contract in the same transaction. Depending on the length of the route between source and destination, a contract call may take a few blocks to process.
Achieving the Infinity Sharding Paradigm (ISP) requires full parallelization, ensuring that each transaction executes independently of others. Therefore, instead of transactions that affect and change the state of many contracts simultaneously, each transaction in TON is only executed on a single smart contract, and smart contracts communicate through messages. That way, smart contracts can only interact with each other by calling their functions with special messages and getting a response to them via other messages later.
See transaction layout for complete transaction details.
Transaction outcome
The successful outcome of a transaction is determined by the successful completion of all its phases:
- No phases were skipped during execution.
- Compute phase — the smart contract finished with exit code
0or1. - Action phase — all actions were created and applied correctly with result code
0.
If the compute phase is skipped, for example, due to insufficient funds or an invalid account state, the transaction is considered unsuccessful.
For more details, see transaction success criteria.
What is a logical time?
In a system with asynchronous and parallel smart contract calls, it can be hard to define the order of actions to process. That's why each message in TON has its Logical time or Lamport time (later just lt). This time is used to understand which event caused another and what a validator needs to process first.
It is strictly guaranteed that the transaction resulting from a message will have a lt greater than the lt of the message. Likewise, the lt of a message sent in some transaction is strictly greater than the lt of the transaction that caused it. In addition, messages sent from one account and transactions on one account are strictly ordered.

For the case in the image, it turns out: in_msg_lt < tx0_lt < out_msg_lt
Thanks to this, we always know the order of transactions, received messages and sent messages for every account.
Moreover, if account A sends two messages to account B, it is guaranteed that the message with a lower lt will be processed earlier:
If msg1_lt < msg2_lt => tx1_lt < tx2_lt.


Otherwise, an attempt to synchronize delivery would require knowing the state of all other shards before processing one shard, thereby breaking parallelization and destroying efficient sharding.
For each block, we can define the lt span as starting from the first transaction and ending with the lt of the last event in the block (message or transaction). Blocks are ordered like other events in TON, so if one block depends on the other, it has a higher lt. The child block in a shard has a higher lt than its parent. A MasterChain block's lt is higher than the lts of shard blocks that it lists since a master block depends on listed shard blocks. Each shard block contains an ordered reference to the latest (at the moment of shard block creation) master block, and thus, the shard block lt is higher than the referenced master block lt.
Message delivery
TON guarantees that all internal messages are reliably delivered to their destination account and cannot be lost in transit. Validators control external messages' initial acceptance into blocks. However, once an external message enters the incoming message queue, it receives the same delivery guarantee as internal messages.
Delivery order
Therefore, it seems like lt solves the issue of message delivery order because we know that a transaction with a lower lt will be processed first. But this doesn't work in every scenario.
Suppose there are two contracts - A and B. A receives an external message, which triggers it to send two internal messages to B. Let's call these messages 1 and 2. In this simple case, we can be 100% sure that 1 will be processed by B before 2 because it has a lower lt.


But this is just a simple case when we have only two contracts. How does our system work in more complex cases?
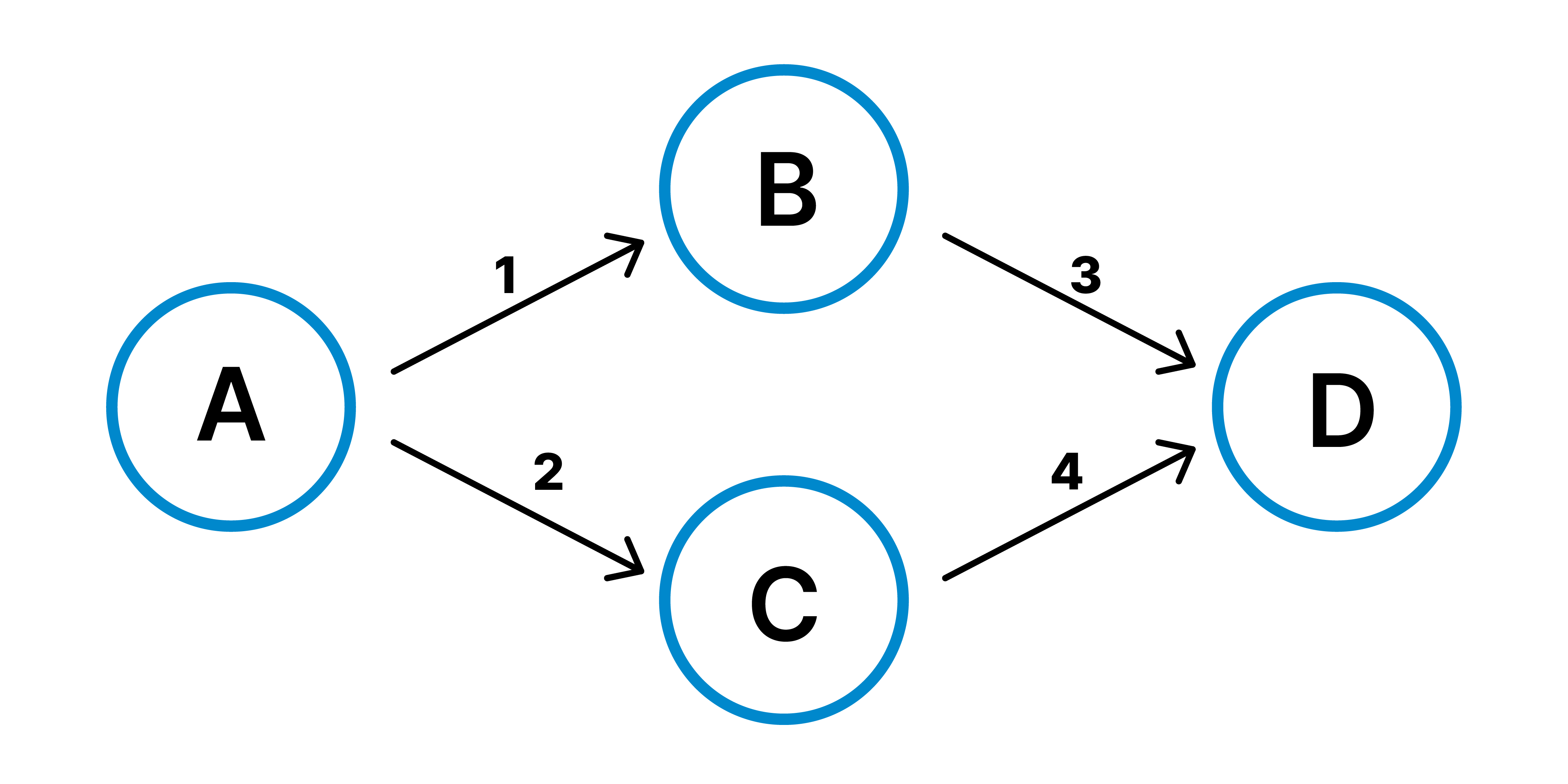
Several smart contracts
Consider three contracts - A, B, and C. When contract A sends two internal messages (1 to B and 2 to C) in a single transaction, the messages are created in strict order (1 first, then 2). However, their processing order at the destinations isn't guaranteed because:
- Network paths may differ: The routes to B and C might involve different validator sets
- Shard chain effects: If B and C are in separate shard chains, messages may traverse different numbers of blocks
- Asynchronous processing: Each shard chain progresses independently, potentially causing delivery timing variations
While the sending order is preserved at the source, TON's decentralized sharded architecture means the receiving order can't be predetermined.
For better clarity, suppose our contracts send back messages msg1' and msg2' after msg1 and msg2 are executed by contracts B and C. As a result, contract A will apply transactions tx2' and tx1'.
We have two possible traces for these transactions:
- The first possible order is
tx1'_lt < tx2'_lt:


- The second possible order is
tx2'_lt < tx1'_lt:


The same happens in the reverse case, when two contracts, B and C, send a message to one contract, A. Even if message B -> A was sent before C -> A, we can't know which one will be delivered first. The B -> A route may require more shard chain hops.


There can be many scenarios of smart contract interactions, and in any scenario with more than 2 contracts, the order of message delivery may be arbitrary. The only guarantee is that messages from contract A to contract B will be processed in order of their logical time. Some examples are below.






Conclusion
The TON blockchain's asynchronous structure creates challenges for message delivery guarantees. Logical time helps to establish event and transaction order but doesn't guarantee message delivery order between multiple smart contracts due to varying routes in shard chains. Despite these complexities, TON ensures internal message delivery, maintaining network reliability. Developers must adapt to these nuances to harness TON's full potential in building innovative decentralized applications.